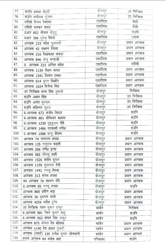
रायपुर । पुलिस-नक्सली मुठभेड़ में डटकर लड़ने वाले पुलिस अधिकारी और कर्मचारियों का प्रमोशन किया है। पुलिस मुख्यालय ने इस संबंध में इस संबंध में आदेश जारी कर दिया है। जारी लिस्ट में 131 अधिकारी-कर्मचारी शामिल हैं, जिसमें सहायक उप निरीक्षक, प्रधान आरक्षक, उप निरीक्षक, सहायक उप निरीक्षक, पीसी, एपीसी प्रमोट किए गए हैं।
देखें लिस्ट…






















